新闻中心

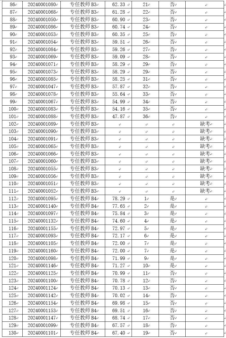
湖南食品药品职业学院2024年公开招聘笔试成绩和面试(试教)入围公示
作者:       发布时间:2024-07-29        来源:         点击数:

请面试(试教)入围人员于8月2日上午8:30前携本人有效身份证件、准考证到湖南食品药品职业学院教学楼4楼相应候考室候考。8:30未到达指定候考室的考生不得入场,按自动弃权处理。

如考生对笔试成绩有异议,请于7月30日下午4:00前向学院组织人事处(学院办公楼204室)书面提出核查申请。联系电话:0731-83868516。

湖南食品药品职业学院

2024年7月29日